Yaylalarda yapılaşmanın önü açılıyor
Suriye, İdlip, Onlarca şehid, CHP-AKP kavgaları ile ülke gerilimdeyken Resmi Gazete'de bugün yayımlanan Cumhurbaşkanı kararıyla 11 ilde toplam 14 milyon metrekarelik alan "yayla alanı" olmaktan çıkarıldı.
05 Mart 2020 - 05:12
Bunun bir başka tanımı Bu yaylaların imara açılacak demektir.
Yöre Halkının yaylada yaptığı evler yıkılırken, Birçok yaylada büyük konaklama siteleri yapılırken, Yeşil yol ile Samsun Artvine yaylalardan bağlanması nedeni ortaya çıkmaya başladı.
Kararda, “Ekli listede adları belirtilen alanların ‘yayla alanı’ olarak ilan edilmelerine ilişkin aynı listede tarih ve sayıları yazılı Bakanlar Kurulu kararlarında yer alan hükümlerin yürürlükten kaldırılmasına, 6831 sayılı Orman Kanununun 17’nci maddesi gereğinde karar verilmiştir” denildi.
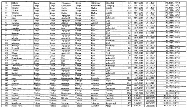
Toplamda 126 alan
Yayımlanan listede Adana’dan 9, Artvin’den 1, Bolu’dan 3, Erzurum’dan 7, Eskişehir’den 3, Giresun’dan 35, Kahramanmaraş’tan 20, Kastamonu’ndan 1, Konya’dan 35, Kütahya’dan 7 ve Trabzon’dan 5 alan bulunuyor.
Kararda referans verilen söz konusu kanunun ilgili maddesinde şu ifadeler yer alıyor:
"Savunma, ulaşım, enerji, haberleşme, su, atık su, petrol, doğalgaz, altyapı, katı atık bertaraf ve düzenli depolama tesislerinin; baraj, gölet, sokak hayvanları bakımevi ve mezarlıkların; Devlete ait sağlık, eğitim, adli hizmet ve spor tesisleri ile ceza infaz kurumlarının ve bunlarla ilgili her türlü yer ve binanın Devlet ormanları üzerinde bulunması veya yapılmasında kamu yararı ve zaruret olması halinde, gerçek ve tüzel kişilere bedeli mukabilinde Çevre ve Orman Bakanlığınca izin verilebilir."
Tarım Orman-İş Sendikası Genel Başkanı Şükrü Durmuş, daha önce bu ölçekte bir alanın yayla alanı olmaktan çıkarılmadığını belirterek, “Ülke gündemi farklıyken ses çıkmaz anlayışıyla rant için atılmış büyük bir adım” dedi.
TMMOB Ziraat Mühendisleri Odası Genel Başkanı Özden Güngör de, kararın rant için alındığını, 14 milyon metrekarelik alanının turizm ve inşaat projeleri için kullanılıp amacı dışına çıkarılacağını ileri sürdü.
Yöre Halkının yaylada yaptığı evler yıkılırken, Birçok yaylada büyük konaklama siteleri yapılırken, Yeşil yol ile Samsun Artvine yaylalardan bağlanması nedeni ortaya çıkmaya başladı.
Kararda, “Ekli listede adları belirtilen alanların ‘yayla alanı’ olarak ilan edilmelerine ilişkin aynı listede tarih ve sayıları yazılı Bakanlar Kurulu kararlarında yer alan hükümlerin yürürlükten kaldırılmasına, 6831 sayılı Orman Kanununun 17’nci maddesi gereğinde karar verilmiştir” denildi.
Toplamda 126 alan
Yayımlanan listede Adana’dan 9, Artvin’den 1, Bolu’dan 3, Erzurum’dan 7, Eskişehir’den 3, Giresun’dan 35, Kahramanmaraş’tan 20, Kastamonu’ndan 1, Konya’dan 35, Kütahya’dan 7 ve Trabzon’dan 5 alan bulunuyor.
Kararda referans verilen söz konusu kanunun ilgili maddesinde şu ifadeler yer alıyor:
"Savunma, ulaşım, enerji, haberleşme, su, atık su, petrol, doğalgaz, altyapı, katı atık bertaraf ve düzenli depolama tesislerinin; baraj, gölet, sokak hayvanları bakımevi ve mezarlıkların; Devlete ait sağlık, eğitim, adli hizmet ve spor tesisleri ile ceza infaz kurumlarının ve bunlarla ilgili her türlü yer ve binanın Devlet ormanları üzerinde bulunması veya yapılmasında kamu yararı ve zaruret olması halinde, gerçek ve tüzel kişilere bedeli mukabilinde Çevre ve Orman Bakanlığınca izin verilebilir."
Tarım Orman-İş Sendikası Genel Başkanı Şükrü Durmuş, daha önce bu ölçekte bir alanın yayla alanı olmaktan çıkarılmadığını belirterek, “Ülke gündemi farklıyken ses çıkmaz anlayışıyla rant için atılmış büyük bir adım” dedi.
TMMOB Ziraat Mühendisleri Odası Genel Başkanı Özden Güngör de, kararın rant için alındığını, 14 milyon metrekarelik alanının turizm ve inşaat projeleri için kullanılıp amacı dışına çıkarılacağını ileri sürdü.







YORUMLAR